+48 731 707 242

Lu - Ve: 08:00 - 15:30

Parametry techniczne wiertarek magnetycznych

Wiertarki magnetyczne to coraz częściej wybierane rozwiązanie wiertnicze na polskim rynku, szturmem zdobywające kolejne warsztaty ślusarskie, zakłady produkcyjne i serwisy oraz szeroko rozumianą branżę budowlaną. W przypadku niektórych sytuacji ich stosowanie staje się wręcz obligatoryjne, dając gwarancję poprawnego, jakościowego wykonania prac. Dzięki temu poradnikowi dowiesz się, jakie parametry techniczne rozróżniamy w przypadku tych urządzeń oraz na które z nich warto zwrócić szczególną uwagę przed zakupem.

Wiertarki magnetyczne – niezastąpiony towarzysz robót precyzyjnych

Wiertarki magnetyczne stanowią remedium wszędzie tam, gdzie ze względu na ograniczoną przestrzeń nie możemy zastosować wiertarek stołowych bądź większych obrabiarek. Ich konstrukcja stanowi swego rodzaju połączenie wiertarek kolumnowych i ręcznych ze specjalnym elektromagnesem o odpowiednio dobranej sile, za którego pomocą przymocowujemy urządzenie do obrabianego materiału. Rezultat? Bardzo wysoka stabilność wiercenia i precyzja wykonywania otworów.

Wiertarki magnetyczne przystosowane są do wiercenia rdzeniowego przy użyciu frezów, pracy z wiertłami o średnicy 12-150 mm lub mniejszymi (przy zastosowaniu chwytów stożkowych Morse’a), a także gwintowania. Tak szerokie możliwości sprawiają, że urządzenia te stanowią niezbędny element wyposażenia niemal każdej firmy budowlanej, konstrukcyjnej, zakładu produkcyjnego, serwisu, warsztatu ślusarskiego i wielu innych miejsc, w których dokładność otworowania stawiana jest na pierwszym miejscu.

 

Aktualnie coraz większa ilość producentów na rynku dołącza do swej oferty wiertarki magnetyczne różnego typu – od mniejszych konstrukcji, przeznaczonych do wykonywania niewielkich otworów bądź pracy w najtrudniej dostępnych miejscach, po duże modele o mocy ponad 3 kW, pozwalające na szybkie wykonywanie otworów o średnicy nawet 150 mm. Ostateczny wybór odpowiedniego urządzenia powinien jednak opierać się na znajomości zdecydowanie większej ilości parametrów technicznych niż tylko moc i minimalna/maksymalna średnica wiercenia. W tym momencie zapraszamy do dalszej lektury, tłumaczącej po kolei każdy z nich, który powinien być podawany przez dobre sklepy i producentów.

Zasilanie i moc wiertarek magnetycznych

Do absolutnie najważniejszych parametrów wiertarek magnetycznych (podobnie jak każdego innego elektronarzędzia) zaliczymy parametry zasilania i moc znamionową. Tu na start otrzymujemy wybór pomiędzy modelami, przeznaczonymi do zasilania 1-fazowego 230 V lub 3-fazowego 400 V o standardowej dla Polski częstotliwości sieci 50 Hz.

 

Moc wiertarek magnetycznych mieści się zazwyczaj w granicach od 1000 do nawet ponad 3000 W. Urządzenia, w których parametr ten osiąga wysokie wartości, będą przeznaczone do otworowania w bardzo twardych materiałach, wymagających dużego nacisku i prędkości obrotowej. To właśnie w przypadku wiertarek o największej mocy możemy natrafić na potrzebę wykorzystania gniazda trójfazowego 400 V.  Należy mieć na uwadze, że nie cała moc będzie dla nas użyteczna tj. przekładać się na siłę wiercenia – wiele zależy bowiem od ostatecznej sprawności danego modelu. To właśnie dlatego najlepszym wyjściem jest zawsze zakup produktu renomowanej, sprawdzonej marki. 

Średnica wiercenia

Czyli ni mniej, ni więcej, jak maksymalna i minimalna średnica otworu, który możemy wywiercić za pomocą danej wiertarki. Jak wspomnieliśmy w pierwszej części naszego poradnika, w przypadku wiertarek magnetycznych średnica otworowania może wynosić od 12 do nawet 150 mm. W zależności od wybranego przez nas modelu spotkamy się z możliwością bezpośredniego montażu klasycznych wierteł wkrętnych, wierteł trepanacyjnych (rurowych), bądź wierteł kompatybilnych ze stożkiem Morse’a (najczęściej MT2 i MT3).  

Uchwyt wiertarski w wiertarce WABROTECH
Uchwyt wiertarski w magnesówce WABROTECH

 

Prędkość obrotowa

Wartość prędkości obrotowej w przypadku wiertarek podawana jest przy biegu jałowym (bez obciążenia) i osiąga wartości do nawet 800 obrotów na minutę. Parametr ten będzie zależny m.in. od mocy i sprawności silnika oraz wagi elementów obrotowych. Większe i droższe modele będą posiadać przynajmniej dwa lub trzy biegi, pozwalające dobrać prędkość do rodzaju obrabianego materiału i średnicy oraz wytrzymałości wierteł, deklarowanej przez producenta.

 

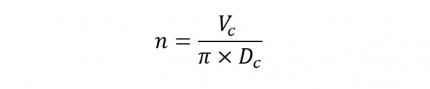
Przy doborze prędkości obrotowej wrzeciona zalecamy skorzystanie z dostępnych w sieci kalkulatorów bądź z następującego wzoru:

Wzór na prędkość obrotową wrzeciona

gdzie:

n – prędkość obrotowa

Vc – prędkość skrawania (dobierana z katalogu)

Dc – średnica wiertła

Skok roboczy

W kartach produktowych wiertarek magnetycznych możemy spotkać się także z parametrem maksymalnego skoku roboczego, czyli inaczej maksymalnej długości, na którą może zostać obniżone wrzeciono z zamontowanym wiertłem, podawanej w milimetrach. Będzie ona determinowała możliwości urządzenia w zakresie głębokości wykonywania otworu, a co za tym idzie – uniwersalność maszyny, pozwalając otworować materiały o szerokim przekroju grubości.

Łagodny rozruch (soft start)

Soft start stosuje się w maszynach różnego typu w celu ograniczenia prądu rozruchowego, osiągającego w krótkim czasie wartości, które mogłyby powodować niepotrzebne wyzwalanie wyłączników nadprądowych. Za klasyczny przykład takiego rozwiązania moglibyśmy uznać układy gwiazda-trójkąt w silnikach trójfazowych, dzięki którym maszyna osiąga maksymalną moc dopiero po upływie określonego czasu. W wiertarkach magnetycznych soft start realizowany jest poprzez układy elektroniczne, wyposażone w tyrystory i triaki. Ich obecność w wiertarkach większej mocy jest dziś w ofertach dobrych producentów bardziej niż obowiązkowa, znacznie zwiększając bezpieczeństwo pracy i samego narzędzia, zwłaszcza w miejscach mocno narażonych na przeciążenia sieci elektrycznej.  W bardziej budżetowej wersji do łagodnego rozruchu wykorzystuje się regulację prędkości obrotów, która wymaga ingerencji użytkownika – zmniejszenia prędkości obrotów przed startem i jej zwiększanie po rozruchu.

Siła magnetyczna

Siła przyciągania magnesu odnosi się do stopy magnetycznej i stanowi dla użytkownika informację o tym, z jaką siłą wyrażaną niutonach (N) będzie ona wiązała się z metalowymi powierzchniami. Dobrej jakości wiertarki magnetyczne cechuje jej wartość od 10 000 N do nawet ponad 25 000 N, pozwalając dobrać model pod potrzeby otoczenia, w którym będzie pracował.

Z uwagi na budowę elektromagnesu, w którym znajduje się miedziana cewka, która podczas pracy nagrzewa się do wysokich temperatur, zalecamy pracę w określonym cyklu: 15 minut przerwy na 2 godziny pracy.

 

Wymiary i waga wiertarek magnetycznych

Ostatnie z najważniejszych parametrów technicznych wiertarek magnetycznych będą stanowiły wymiary i całkowita waga urządzenia. Zgodnie z intuicją, modele o większej mocy będą charakteryzowały się większym ciężarem, w granicach 30 kg, podczas gdy słabsze modele, zbudowane na potrzeby wykonywania mniejszych otworów, będą zaczynały się od ok. 14-15 kg. Jak nietrudno się domyślić, oba wymienione parametry będą dla nas szczególnie ważne w warunkach mocno ograniczonej przestrzeni lub ruchów, czy otworowania cieńszych materiałów metalowych.

Wiertarka magnetyczna WABROTECH WT23RE do frezów
Wiertarka magnetyczna WABROTECH WT23RE przeznaczona do frezowania

 

Problem z wyborem wiertarki magnetycznej? Skontaktuj się z nami!

Wybór odpowiedniego narzędzia to najważniejszy aspekt, determinujący jakość i skuteczność wykonywanych prac. Dlatego zapraszamy do kontaktu każdego, mierzącego się z problemem wyboru wiertarki magnetycznej. Jako specjaliści w dziedzinie budowy urządzeń przemysłowych pod sztandarem Wabrotech, jesteśmy w stanie zaproponować ci najlepsze możliwe rozwiązanie w założonym przez ciebie budżecie, cechujące się wysoką funkcjonalnością, jakością wykonania, trwałością i – co najważniejsze – gwarantujące pełną przyjemność z pracy!

Livraison gratuite

Livraison gratuite à partir de 600 EUR

ne concerne pas les palettes

1 an de garantie

2 ans de garantie

détails sur la fiche produit

Service D2D

Service D2D

de nos produits

Paiements rapides

Paiements rapides

transactions sécurisées

30 jours pour le retou

30 jours

pour le retour